Anthropic与Pentagon在人工智能领域的争执升级

附加功能:将YouTube缩略图转换为5种不同的社交帖子

阿洛

阿洛

发布于 2026年3月16日

每日简报概述

早上好,人工智能爱好者们。由于Anthropic公司对军方使用其人工智能的限制,五角大楼可能很快就会将其列为“供应链风险”。
这场看似愈演愈烈的争端,凸显了正在塑造人工智能(AI)时代的更深层次的紧张关系:谁控制着前沿模型在军事行动中的部署方式——是构建这些模型的实验室,还是使用它们的政府?
今日人工智能简报:

  • 人文主义与五角大楼在人工智能使用问题上的争执升级
  • OpenAI在ChatGPT中新增了“锁定模式”
  • 将YouTube缩略图转换为5条社交帖子
  • 阿里巴巴凭借开放重量级的Qwen-3.5接近前沿
  • 4款全新AI工具、社区工作流程等
1 / 10

‼ 人性论者与五角大楼在人工智能使用问题上的争执升级

‼ 人性论者与五角大楼在人工智能使用问题上的争执升级

据报道,五角大楼“即将”切断与Anthropic公司的联系,并因其对军方使用Claude的限制而将该公司列为“供应链风险”企业——这一标签通常仅用于外国对手。
细节如下:

  • 如果被认定为“供应链风险”,所有美国国防承包商将被迫切断与Anthropic公司的联系,这将严重打击该人工智能公司的主要业务。
  • 国防部官员要求有权将人工智能用于“所有合法目的”,而Anthropic公司则坚决反对授予广泛权限。
    据Axios报道,该公司愿意放宽限制,但希望确保其人工智能不被用于监视美国人或制造自主武器。
  • 克劳德(Claude)目前是五角大楼机密系统上唯一的人工智能,据报道,今年1月还曾通过Palantir使用它来抓捕尼古拉斯·马杜罗(Nicolás Maduro)。
    为何重要:专家们长期以来一直警告人工智能在战争中的无节制使用,而此次对峙标志着一个显著时刻,显示出企业负责任使用的准则与军方作战需求之间的摩擦日益加剧。

唯有时间才能证明,哪一方将塑造国家安全领域的人工智能规则。

2 / 10

You.com的创始人预测,人工智能的寒冬即将到来

You.com的创始人预测,人工智能的寒冬即将到来

AI资讯:You.com的联合创始人理查德·索彻(Richard Socher)和布莱恩·麦肯(Bryan McCann)是世界上被引用次数最多的AI研究人员之一。

他们刚刚发布了2026年的35项预测。
其中三个尤为突出:

  • 随着资本大量回流研究领域,大型语言模型(LLM)革命的潜力已被“挖掘殆尽”
    “奖励工程”成为一项工作;提示无法应对接下来发生的情况
  • 传统编码将在12月消失——AI编写代码,人类负责管理
    阅读全部35个预测。
3 / 10

🔒 OpenAI为ChatGPT增加了“锁定模式”

🔒 OpenAI为ChatGPT增加了“锁定模式”

AI资讯:OpenAI刚刚在ChatGPT中引入了“锁定模式”,并新增了“高风险”标签,旨在保护“高度注重安全的用户”免受提示注入(即AI被诱骗泄露数据)等威胁。
细节如下:

  • 锁定模式是一项可选设置,它能有确定性地禁用某些可能被攻击者利用的ChatGPT工具和功能。
  • 该模式中的特定保护措施包括将网页浏览限制为缓存内容,以确保没有实时网络请求离开OpenAI的环境。
  • ChatGPT 工作区管理员可以启用该模式,并能够为特定应用/操作设置白名单,使其在锁定模式启用时仍然可以访问。
  • 公司还在ChatGPT、Atlas和Codex中新增了“高风险”标签,以标记可能带来任何程度风险的功能。
    为何重要:随着人工智能模型从简单的聊天机器人发展为能够浏览网页、连接应用程序并执行复杂任务的成熟代理,其安全风险比以往任何时候都更高。

此次更新承认了这一变化,并指出确定性“硬块”可能是应对某些人工智能风险的唯一途径。

4 / 10

📲 将YouTube缩略图变成5条社交帖子

📲 将YouTube缩略图变成5条社交帖子

AI资讯:在本指南中,您将在Canva中从零开始制作YouTube缩略图,然后使用AI调整大小功能,立即将其复制到每一种社交媒体格式中,并由AI为每种尺寸处理布局。
逐步说明:
在Canva(你需要一个专业版账户)中,点击“创建”按钮并搜索“缩略图”。选择YouTube缩略图项目类型

  • 在侧边栏中,选择一个你喜欢的模板。更新文本以匹配你的视频标题,如果你愿意,还可以更改颜色
  • 如果里面有抠图人物,你可以先自拍,将其拖入Canva,然后点击AI去除背景按钮。现在,替换掉占位符抠图
  • 最后,点击左上角的“调整大小”,并选择您想要的所有社交媒体布局。Canva AI会为每个布局创建正确尺寸的缩略图
    专业提示:您还可以使用Nano Banana Pro生成缩略图,然后在Canva中重新创建它们。
5 / 10

🗣️ 语音代理需要您信赖的速度

🗣️ 语音代理需要您信赖的速度

AI资讯:Speechmatics的Voice Agent API能在250毫秒内提供部分结果,并在250-300毫秒内提供最终结果。

它首先构建的是实时模型,而非强行转为流式处理的批处理模型。

这就是为什么您能在对话延迟方面获得无与伦比的准确率。
你得到的是:

  • 支持55种以上语言,且性能不受口音影响
  • 原生支持LiveKit、Pipecat、Vapi
  • 部署云端、本地、混合、设备端
    开始使用200美元的免费信用额度进行构建。
6 / 10

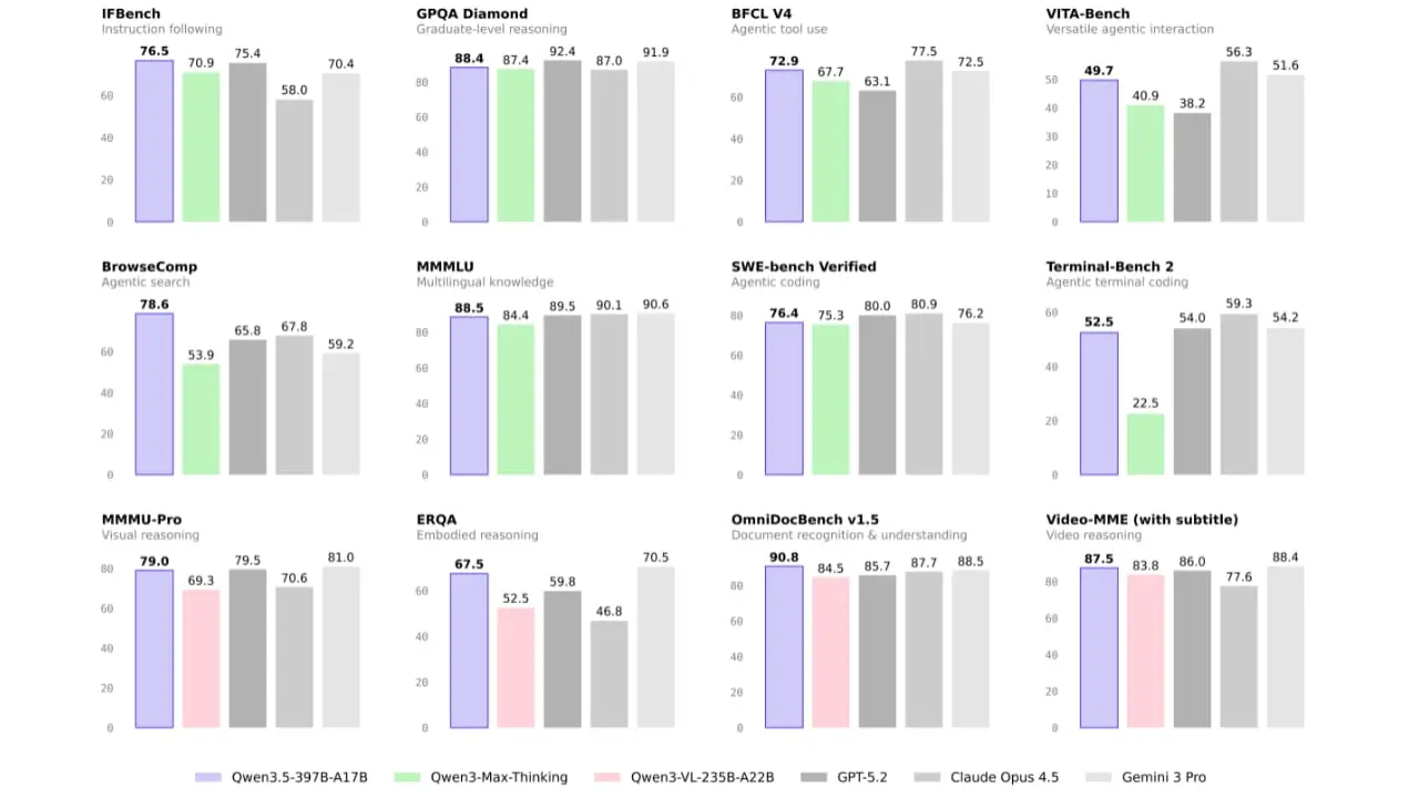
🧠 阿里巴巴凭借开箱即用的Qwen-3.5接近前沿

🧠 阿里巴巴凭借开箱即用的Qwen-3.5接近前沿

AI资讯:阿里巴巴旗下公司Qwen发布了Qwen3.5-397B-A17B,这是一款采用“混合架构”的开放权重视觉语言模型,在提供巨大推理增益的同时,可与OpenAI的GPT-5.2和谷歌的Gemini 3 Pro等专有巨头相媲美。
细节如下:

  • Qwen-3.5采用稀疏混合专家(Mixture of Experts,MoE)设计,每个查询仅激活3970亿个参数中的170亿个,在高级功能和低延迟之间取得平衡。
  • 该模型在各方面都接近前沿玩家,甚至在代理搜索、文档识别和指令遵循等领域超越了他们。
  • 阿里巴巴声称,与其前身Qwen3-Max相比,其使用成本降低了60%,处理大型工作负载的能力至少提高了8倍。
  • 该版本旨在处理智能体所需的连续多模态推理,尽管它目前似乎还不是很擅长运行自动售货机。
    为何重要:中国实验室正蓬勃发展,而Qwen3.5结合了接近前沿的性能、60%的成本降低以及开放权重,这场竞赛显然正朝着效率和可扩展性的方向发展。

如果这一势头持续下去,人工智能的平衡可能将不再那么依赖于原始规模,而更多地取决于谁能以最低的成本提供强大的模型。

7 / 10

🛠️ 热门人工智能工具

  • 👨‍💻 HeyGen - 无需拍摄,几分钟内即可将创意转化为视频。使用优惠码TRDAI20,前三个月可享受20%的折扣。
  • 🧠 Qwen3.5-397B-A17B - 阿里巴巴的开放权重视觉语言模型
  • 🤖 Manus - 人工智能代理,现在可通过Telegram访问,并具备长期记忆功能
    ✨ Seed 2.0 - 字节跳动(ByteDance)为通用代理开发的开源模型
    *赞助列表
8 / 10

📰 今日人工智能的其他动态

Meta 获得了一项社交网络系统的专利,该系统利用基于用户互动数据训练的人工智能,在用户长时间休息甚至去世时模拟其回应。
印度举办了人工智能影响力峰会,邀请了来自全球人工智能巨头的高管,包括OpenAI的萨姆·奥特曼、谷歌的桑达尔·皮查伊和Anthropic的达里奥·阿莫代。
萨姆·奥特曼(Sam Altman)和达里奥·阿莫代(Dario Amodei)证实,印度现已成为ChatGPT和Claude的第二大市场,阿莫代还宣布了Anthropic在班加罗尔的办事处。
爱尔兰数据保护委员会正在调查xAI的Grok,因为担心该技术能够生成女性及儿童的性化图像,此前英国和欧盟已采取了类似行动。
据报道,SpaceX(和xAI)将参加五角大楼耗资1亿美元的竞赛,以研发语音控制、自主无人机集群技术。
ElevenLabs推出了“ElevenLabs for Government”计划,旨在帮助公共部门机构部署安全、多语言的语音和聊天人工智能。

9 / 10

🤝 社区人工智能工作流程

在每一期通讯中,我们都会展示一位读者如何利用人工智能更高效地工作、节省时间或让生活更轻松。
今日的工作流程来自澳大利亚读者丽莎·G:
“我在一个野生动物庇护所做志愿者,这个庇护所完全靠捐款运营……我们需要一个应用程序来管理救援队的行动,所以我使用Base44的网络应用程序创建工具开发了一个。

它能管理救援电话,跟踪救援进度、志愿者任务分配,还能定位野生动物踪迹。

”。
这为我们团队节省了时间,因为我们之前使用WhatsApp来记录救援情况,这真的非常低效。我现在正在为庇护所开发更多的应用程序。

你是如何使用人工智能的?请在此处告诉我们。

10 / 10

🎓 亮点:新闻、指南与活动

  • 阅读我们上一期人工智能简报:人工智能的新物理学发现
  • 阅读我们上一期的科技通讯:马斯克的“自我成长”月球城
  • 阅读我们上一期的机器人通讯:《Apptronik的9.35亿美元人形机器人时刻》
  • 今日AI工具指南:将YouTube缩略图转化为5条社交帖子
  • 2月18日下一场工作坊的回复:代理工作流训练营第二期

相关文章推荐